高分3号1级到2级的处理过程

高分3号1级到2级的处理过程
ytkzSAR的一级数据的无物理意义的DN值,而二级数据则是带有坐标信息的后向散射系数信息(图像)
1.简介
这是针对国产合成孔径雷达遥感影像预处理的算法。
2.特点
1.分块实现sar预处理:1L数据到1LB级数据再到2级数据。内存少的电脑可以把分块大小调整小数值。
2.自动查到元数据相应的数值,自动生成2级产品
3.如何将1L的数据转化为2L的数据
以GF3为例。
校准常数的获取
标定常数由角反射器和标定场已知雷达截面积的主动常数确定。公式如下
在上式:
P^I= I^2+Q^2对应于SAR复像中有源标量或角反射器的幂,I和Q分别对应1A类复像的实部和虚部
高分三号卫星的等效后向散射系数为:
1)分辨率1m~10m,成像边缘优于-19dB;
2)分辨率为25m~500m,成像中心优于-25dB,成像边缘优于-21dB。
因此,忽略噪声的影响,上式可简化为:
将每个参数替换为dB值,即
在产品元数据文件中,字段CalibrationConst对应于KdB。
4.校准常数的使用
后向散射系数可按以下关系式计算:
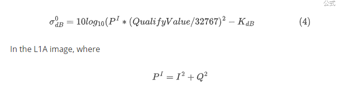
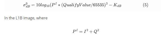
I为1A级产品的实部,Q为1A级产品的虚部,QualifyValue为量化前场景图像的最大值,可通过元数据文件字段获取。
DN为1A级产品的实部,I为1A级产品的虚部,QualifyValue为量化前场景图像的最大值,可通过元数据文件字段获取。
例如,在量化HH图像时,对应的QulifyValue值应该是32.469337。
5.从1A级到1B级的计算公式
6.从1BL到2L的转换
使用GDAL RPC的正射影像校正模块
7.部分接口
find_resolution:查询空间分辨率,返回空间分辨率的数值
Find_Resolution:查找当前影像的空间分辨率,用于几何校正模块
get_qualifyvalue_and_calibration:从xml中获取 :1A级产品归一化峰值QualifyValue、定标常数Calibration,返回对应的参数
get_file_name:查询文件夹中的是否存在高分3号的数据,若存在则返回该文件名字
__confirm_image_type:根据影像的类型,提取参数:QualifyValue、Calibration
to1lb:分块对GF影像进行处理,计算振幅数据,生成1LB数据文件,即后向散射系数数据
fill_ndarray:将数组中的nan替换成对应的均值
get_rpc_file:获取rpc文件的名字
confirm_rpc_type:根据影像的类型,提取参数:rpc文件名
read_gf3_rpb:解析高分三号的rpb\rpc文件,获取RPC几何校正的参数
rc:几何校正(单独)
run:直接生成2L数据,遍历文件夹中的L1A数据
预先准备的文件
GMTED2010.jp2——几何校正使用的DEM数据,由于该数据较大不能上传到git,可以点击这里下载,提取码:qsz2。也是ENVI自带的DEM数据
8.小结
SAR的一级数据的无物理意义的DN值,而二级数据则是带有坐标信息的后向散射系数信息(图像),sar的处理和光学影像的处理大为不同,特别是insar,看不懂解缠的公式,更别说编程实现insar,有专业的同学可以来交流交流。
9.代码
代码获取渠道有两种:
- 无科学上网的同学,在公众号《remote sensing》回复:GF3预处理,即可下载完整源代码
- 可科学上网的同学,访问我的github项目来获取完整源代码,给我点个star!
打广告:个人公众号:《remote sensing》,关注点赞不吃亏呀,嘻嘻。















